|
AvgDeviation_a
Функция AvgDeviation_a вычисляет среднее значение для абсолютных отклонений элементов массива от их средних. Заметим, что данная функция, как и остальные функции, работающие с массивами, начинают вычисления с элемента массива номер 1.
Синтаксис: AvgDeviation_a((AVGARRAY, ARRAYSIZE)
AVGARRAY – числовой массив, для которого вычисляется среднее отклонение. ARRAYSIZE – числовое выражение, равное числу элементов в данном массиве, которые используются в вычислениях.
Функция возвращает числовое значение, равное среднему значению для абсолютных отклонений элементов массива от их средних. Если в результате неправильного задания массива вычисления не были произведены, то функция возвращает значение -1.
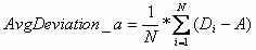
Использование функции: Функция AvgDeviation_a находит меру разброса для элементов массива по следующей формуле:
Где Di – элемент массива номер i, А – среднее арифметическое элементов массива. N – количество элементов в массиве. |